Impact of Wall Effects on Flue Gas Velocities in Rectangular Ducts and Recommended Revisions to EPA Reference Method 2H |
Stephen K. Norfleet & Robert E. Barton, RMB Consulting & Research, Inc.
Introduction
One of the problems that was uncovered in recent EPRI and EPA studies to evaluate sources of error in continuous emissions monitoring system (CEMS) measurements was the inherent bias that is associated with the equal area traverse procedure. The procedure, specified by Reference Method 1, dictates how stack flow reference traverse points are selected and assumes that the average flow for a given area in the stack is represented by the flow measured at the centroid of that area. While this assumption is essentially true for the central portion of the stack, it does not apply for the areas near the wall. Near the wall, such an assumption invariably results in an overestimation of the actual average velocity because it does not account for viscous shear effects, neglecting the significant velocity "drop off" as the velocity approaches zero at the stack wall. This effect is illustrated in Figure 1, which shows the typical velocity and shear stress distributions near a wall.

Figure 1. Typical Velocity and Shear Distributions in Turbulent Flow Near a Wall
One of EPA's new stack flow method revisions, Reference Method 2H is designed to address the problems with the equal area traverse procedure. Reference Method 2H allows utilities to perform tests to determine wall-effect adjustment factors for correcting the measured volumetric flow rate. The method also incorporates default correction factors, albeit very conservative ones, that can be used without testing. Unfortunately, Method 2H can currently only be used on circular stacks(1). No wall-effect corrections are allowed for volumetric flow meters installed on rectangular ducts or stacks. This situation is inequitable since the same viscous shear wall effect occurs in rectangular ducts. In fact, the wall effect related bias is even more pronounced in rectangular ducts, as this paper will discuss.
RMB Consulting & Research, Inc. was asked by several utilities to evaluate wall effects in rectangular ducts to provide a basis for applying wall-effect correction factors on these types of sources. This paper summarizes our evaluation and discusses the fluid dynamic principles involved. Actual near wall velocity measurement data from various rectangular duct sites are presented as well as data calculated using established fluid dynamic correlations. A recommended measurement approach and reasonable default correction factors will be introduced along with suggested modifications to Method 2H, which would to make it more accurate and cost effective.
Summary of Previous Evaluation of Wall Effects for Circular Stacks
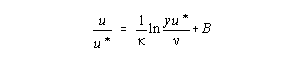
In a paper presented at the 1998 EPRI CEMS Users Group Meeting(2), Norfleet discussed the results of a theoretical mathematical model used to determine near wall velocities in circular stacks. The model was principally based on the well established work of Millikan who, in 1937, showed that overlap-layer velocity varies logarithmically with the distance from the wall. The correlation, commonly known as logarithmic law or overlap law, is expressed as:

In addition to definitive turbulence, the vast majority of utility stacks display characteristics of fully rough flow. Fortuitously, this simplifies the logarithmic law equation since the viscosity term essentially disappears making the relationship Reynolds number independent(3):

where,
u = velocity of near wall measurement
u* = friction velocity(4)
y = distance from wall
e= wall roughness
The previous paper showed that the logarithmic law-based theoretical model provided very accurate characterizations of near wall velocity profiles. Excellent agreement was demonstrated between the model and actual measurements from both the EPRI and EPA flow study field tests. The superb performance of the model was not surprising since the effectiveness and accuracy of the logarithmic overlap law has been firmly established and tested over a wide range of conditions for over 60 years.
The logarithmic law near wall velocity model was used in conjunction with the numerical integration technique employed in EPA's Reference Method 2H to determine the bias due to the lack of correction for the wall effect related velocity "drop off" in the equal area traverse procedures. The previous paper included tabulated results of the biases that would be associated with an assortment of utility stack diameters and wall roughness values that were selected to represent the typical range of utility stacks flow monitoring locations. Given a typical velocity profile ratio of 0.90(5) and a 16-point velocity traverse, the results showed that neglecting the wall effects introduces biases that ranged from about 1.7% to 3.0% with a mean value of about 2.2% for circular stacks with diameters of 10 to 35 ft.
Wall Effects in Rectangular Ducts
Intuitively, there are a number of reasons why one would expect that wall effects, i.e., the bias intrinsic to Method 1's equal area technique, would be greater on a rectangular duct than it is on a circular duct because:
There is more wall surface. The ratio of the stack wall perimeter to the total stack cross sectional area is greater on a rectangular duct than on a circular stack. Therefore, the region influenced by wall effects is greater on a rectangular duct--more wall, more wall effects.
The test points are further from the wall. Given an equal number of total traverse points, the measurement locations nearest the wall on a rectangular duct tend to be located significantly further from the wall than on a circular stack. On a rectangular, duct the Method 1 traverse points are equally spaced across the duct, whereas the traverse points on a circular stack are forced toward the wall due to its geometry. For example, on a 20 foot diameter circular stack using 16 total traverse points, the closest measurements locations are less than eight (8) inches from the wall; whereas, on a 20 foot square duct using a 16 (4 x 4) point traverse, the nearest measurement points are 2 ½ feet away from the wall.
This difference in traverse point location has significant impact. Since the traverse points on a circular stack are closer to the wall, a portion of the wall effects is sometimes reflected in the velocities measured. However, for a rectangular duct, the traverse points generally lie wholly in the bulk flow region, which is virtually unaffected by the wall; thus, little, if any, of the influence of wall effects will be seen.
Wall effects are more intense in the corners. Wall effects on rectangular ducts would also be expected to play a larger role on a rectangular duct because of the impact of the corners. In the corners, the velocity drop off is greater because the flow is impacted by viscous shear stresses from velocity gradients in two planes (corresponding to the adjoining walls) as opposed to one plane elsewhere.
Secondary Flow in Rectangular Ducts
Another factor, albeit a small one, also contributes to higher wall effects on rectangular ducts. This factor is a secondary flow phenomenon, which is not present in circular stacks. In rectangular ducts, secondary flows are produced due to gradients of the Reynolds stresses propagating flow cells that move inward along the corner bisectors as shown in Figure 2a.
a) Secondary Flow Cells b) Axial Velocity Isovels
Figure 2. Secondary Flow in Rectangular Ducts
While the secondary flows can, like viscous shear, contribute to a degradation of axial momentum, its impact in that regard is not significant since the secondary flow vector is very small (US/U <= 0.01)(6). A more significant impact of the secondary flow is its distortion of corner and near wall isovels (lines of constant velocity) as shown in Figure 2b. The secondary flow tends to sweep the isovels toward the corners. As it drives the mean flow toward the corners, the secondary flow also serves to relocate the impact of the more intense wall effects away from the corners, tending to push out the isovels along the wall and make the velocity contours more similar around the entire cross-section.
Theoretical Comparison of Wall Effects for Circular and Rectangular Ducts
Illustrating the differing degree of wall effects that are experienced in rectangular ducts in contrast to circular stacks, adjustment factors for circular and square ducts with equal cross sectional areas are presented in Table 2. As the table shows, the wall effect adjustment factors for rectangular ducts are considerably greater than those encountered for circular stacks.
Table 2. Comparison of Wall Effect Correction Factors (WAF) for Circular and Rectangular Ducts with Equal Cross Section (RVPcir=0.90, RVPrec = 0.99, =0.1)(7) |
||
Stack Diameter |
Circular Stack WAF | Square Duct WAF |
| 10 | 0.9700 (3.00%) | 0.9496 (5.02%) |
| 15 | 0.9740 (2.60%) | 0.9548 (4.52%) |
| 20 | 0.9761 (2.39%) | 0.9576 (4.24%) |
| 25 | 0.9775 (2.25%) | 0.9592 (4.08%) |
| 30 | 0.9785 (2.15%) | 0.9603 (3.97%) |
| 35 | 0.9793 (2.07%) | 0.9612 (3.88%) |
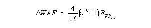
The circular duct wall effect adjustment factors in Table 2 are based upon the logarithmic law model results presented in the previous paper. The wall effects adjustment factors for square ducts were obtained by multiplying the circular duct values by a series of correction factors to compensate for differences in the stack wall perimeters, flow profile distributions, traverse point locations, and the impact of the corners.
![]()
A discussion of how each correction factor was obtained follows:
The impact of perimeter differences, Cperimeter: The impact of the difference in the perimeters can be approximated by a simple correction factor, Cperimeter= Prec/Pcir. This approximation is expected to be quite accurate since the majority of the wall effects are experienced within the first few inches from the wall. For a square stack:
![]()
The impact of profile differences, Cprofile: Cprofile is a factor to account for the differences in the shapes (or distribution) of the velocity profiles between circular and rectangular ducts. If the flow in the equal area regions near the wall are significantly less than the average flow measured throughout the stack, then the impact of wall effects on the total flow will be less significant. Since the near wall equal areas already contribute a smaller portion of the total flow, any corrections to those localized flows will have less impact on the total average flow than if the near wall equal areas represented a larger fraction the total flow. Cprofile is simply the ratio of the average velocities measured in the equal areas abutting the stack walls over the total average velocity; this ratio is also the parameter defined as RVP, which was used as a scaling in the previous paper. In the previous paper the average circular stack RVP based on the EPRI and EPA field test data was approximately 0.90 whereas the average ratio from the seven rectangular ducts evaluated in this study was considerably higher at 0.99.

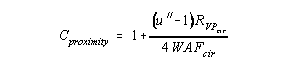
The impact of traverse point proximity, Cproximity: It is likely that part of the reason why RVP is higher for rectangular ducts than it is for circular stacks is that the nearest measurements on a rectangular duct are taken considerably further away from the wall. The difference in the traverse point proximity also has a secondary influence in that, while the standard traverse points nearest the wall on circular stacks often include a portion of the wall effects (thus, reducing the wall effects correction factor), those for rectangular ducts are typically so far away from the wall that essentially none of the wall effects are already included, necessitating a larger wall effects adjustment factor. Using 16 traverse points on a circular stack, the points nearest the wall will be located a distance of only 0.032d away. For a square duct of equal area using 16 (4 x 4) traverse points, the distance will be 0.125L or 0.0625(pi1/2)d. The impact of the difference in traverse point proximity can be determined by calculating the velocities that would be measured at the two distances from the wall. The difference in the velocities would be prorated in accordance with the number of equal areas that would be affected and expressed in terms of the total average velocity to yield Cproximity.
The flue gas velocities corresponding to the traverse point locations nearest the wall for both circular and rectangular ducts can be determined by simultaneously solving a set of two equations, yielding results in fractional terms of the velocity that would be measured at the traverse points nearest the wall on a circular stack.

In the preceding equations u' represents the velocity at distance y', the location corresponding to the nearest traverse point from the wall on a circular stack and u'' is the velocity at point y'', the nearest point on a rectangular duct. Setting u' = 1, assuming a roughness value of 0.1, for a square duct we find that:

The additional wall effects adjustment that would be associated with a rectangular duct versus a circular duct due to the difference in traverse point proximity to the wall can be expressed in the following form (for 16 traverse point), where u'' is a function of the stack diameter as shown above:

Converting this into the multiplier Cproximity,

The impact of the difference in traverse point proximity is quite significant. For a square duct with a cross sectional area equal to a 20 foot diameter stack, Cproximity is approximately 1.35. Over a full third of the wall effects on a circular stack is already reflected in the regular traverse point measurements, but this will not be the case on a rectangular duct.
The impact of corners, Ccorner: Characterizing system losses due to friction is a significant topic in engineering. Much work has been done to better understand and characterize the phenomenon of fictional losses in piping and ducts. If a function relating friction factors and wall effect correction factors can be established, then the data and correlations developed to determine friction factors can be leveraged for the purpose of calculating wall effects. Since both friction factors and wall effect correction factors are related to wall roughness, a function would seen likely.
The Darcy friction factor, f, is a dimensionless parameter, which correlates the effect of roughness on pipe resistance and that can be used to calculate pipe-head losses. For fully rough flows in circular pipes or stacks, the friction factor can be expressed in the following form(8), which represents a subset of the ASME Moody diagram that serves as the universally accepted foundation for determining design friction for turbulent applications:

Plotting the wall effects results presented in the previous paper in contrast to the corresponding Darcy friction factors shows that, while there is no single function that independently relates wall effects to friction factors, for a constant roughness (or constant stack diameter), the relationship between the two factors is linear. The linear relationship means that any correlation developed to determine friction factors can be applied directly to wall effects, anything that influences friction factors will also bring about a change of equal magnitude in wall effects for any individual stack.
Two correlations have been developed to translate friction factor data, such as the information presented in the Moody diagram, which was developed for circular pipes/stacks, so that it can be used for various types of cross sections. The first is the concept of the hydraulic diameter, Dh, which accounts for the differences in geometry:

where P is the "wetted perimeter," which in the case of a stack or duct is the entire cross-sectional perimeter.
The second correlation is intended to incorporate the effect of the impact of the corners, using the what is known as effective diameter, Deff. The information needed to calculate effective diameter values is usually provided in tabular form for given geometries, such as the information in Table 1, where b/a is the ratio the length of the perpendicular stack walls at the cross-section and Deff = [64/(f Re)]Dh. The tabular information is based on laminar-flow velocity distributions, which in principle can be solved analytically. This approach results in somewhat conservative values since the laminar flow case does not include secondary flows, but this effect is expected to be small.
| Table 1. Fiction Constants for Rectangular Ducts(9) | |||
| b/a | f ReDh | b/a | f ReDh |
| 0.00 | 96.00 | 0.25 | 72.93 |
| 0.05 | 89.91 | 0.40 | 65.47 |
| 0.10 | 84.68 | 0.50 | 62.19 |
| 0.125 | 82.34 | 0.75 | 57.89 |
| 1.67 | 78.81 | 1.00 | 56.91 |
Determining the impact of geometry on wall effects is relatively straightforward, but calculating the impact of the corners is not and usually does not lend itself to easy measurement. Because wall effects can be expressed as a linear function of the fiction factor (for a given roughness), a correction factor for wall effects can be easily developed. The correction factor is simply the ratio of the friction factor calculated using the effective diameter versus the friction factor using the hydraulic diameter. This ratio reduces to:

Rectangular Duct Wall Effects Measurement Data
Wall effect adjustment factors for rectangular duct test location on seven utility and industrial boilers are shown in Table 3. The results for these units were based on actual near wall measurements, which were reduced as described in the following section.
Table 3. Measurement Based Rectangular Duct Wall Effect Correction Factors |
|||
| Boiler | Dimensions | Number of Points | WAF |
| Industrial Boiler A | 8' x 10' | 6 x 4 | 0.9345 (6.55%) |
| Industrial Boiler B | 8' x 10' | 4 x 4 | 0.9338 (6.62%) |
| Industrial Boiler C | 7' x 8' | 3 x 4 | 0.9066 (9.34%) |
| Industrial Boiler D | 10' x 6' 4" | 5 x 4 | 0.9371 (4.29%) |
| Watson 4B | 9' 2" x 11' 10" | 6 x 7 | 0.9754 (2.46%) |
| Gorgas 8B | 22' 6" x 5'2" | 8 x 6 | 0.9746 (2.54%) |
| Welsh | 18' 6" x 12' | 4 x 4 | 0.9486 (5.14%) |
The data in Table 3 represent a diverse collection of flow monitoring locations. The sites with the lowest WAFs, Watson 4B and Gorgas 8B correlated to the sites where a greater number of regular Method 1 traverse points were used and also tended to be located closer to upstream disturbances which may have caused the wall effects boundary layer to be less developed. The highest WAF was calculated for Industrial Boiler C, where the fewest standard traverse points were used. Although using fewer points tends to raise WAF, we believe the results of this test are likely overstated. The WAF values in Table 3 were based on a based on a single wall effects test a each site, with the exception of Welsh where the results of three test were averaged.
To get achieve a better understanding of the wall effects within corners a slider port was designed and installed on the Welsh stack to allow measurements to be taken within the corner region of the stack. The average results of these tests are illustrated in Figure 3. The data does, indeed, show greater velocity decays in the corner and suggest that estimating the impact of the corners using laminar flow-based theory is, perhaps, more conservative than anticipated.

Measurement Data Reduction
The rectangular duct wall effects adjustment factors in Table 3 were calculated in a fashion analogous to the way that adjustment factors are calculated under Method 2H for circular stacks. Measurements from each port were collected at one-inch intervals up to 12 inches from the wall. Where applicable, an additional point, drem, representing the remainder of the regular Method 1 equal area closest to the port was also measured.
Unlike circular stacks, traverse ports may not be found at all Method 1 equal areas bordering the wall on a rectangular duct. And, it is generally unadvisable to collect near-wall measurements from a port located on the opposite wall of the duct since small probe misalignments can have a significant impact on the measurements. These difficulties do not, however, pose a problem for obtaining representative near-wall data. Under Method 2H, the impact of the wall roughness for the entire cross-section is approximated based on measurements at four locations. Likewise, for a rectangular duct, the effect of wall roughness for the cross-section can be categorized at a series of points along the wall, with some duct locations offering the possibility of even greater clarity since there are more than four port locations.
For rectangular ducts, an average near-wall velocity profile serves as a useful construct in allowing an overall adjustment factor to be calculated from the wall effects characterization provided by the near wall measurements. An appreciation of the underlying viscous shear phenomenon as well as the growing library of near wall measurement data show that while the velocities measured at each test port may differ, the profile (or slope) of the near-wall velocities at each port will be similar. The profile similarity is an outgrowth of the similarity in wall roughness for a given stack or duct cross-section. The similarity means that the near-wall velocities can be reduced to a function of the bulk velocity (i.e., the regular Method 1 traverse point velocity) measured near the wall. If the average profile at a number of locations on the stack or duct wall is known, it can be used to scale the velocities at other points along the wall.
The average near wall velocity profile was determined by first normalizing all the near wall measurement data as percentages of the corresponding the regular Method 1 traverse point velocities. For example, if the first one-inch measurement was 30 ft/sec in a equal area with a regular Method 1 traverse point velocity of 50 ft/s, then the normalized value for that velocity is 60%. The normalized values of all near wall measurements taken at a given interval (e.g., all values corresponding to measurements taken at points three inches from the wall) are then averaged together.
The average, normalized velocity profile was used generate near wall velocity values for all the equal areas that border the stack or duct wall. The normalized values served as scaling factors. If, for example, the average, normalized velocity at all measured points two inches form the wall was 75% and the regular Method 1 traverse velocity in a certain equal area bordering the wall was 80 ft/sec, then the velocity at all points two inches from the wall (within that area) was taken to be 60 ft/sec. This process was used to generate near wall velocity values for every equal area adjoining the wall.
Once near wall velocity values were determined for all equal areas, an adjustment factor can calculated by summing up the flows in the areas associated with each interval and contrasting that with the flow based on the regular Method 1 traverse point velocities; or, as is done under 2H, this same relationship/correction factor can be expressed in terms of velocity by prorating the velocities in terms of cross-sectional area. Like under Method 2H, the flow within a given "zone" was assumed to be the average of the two points that bound that area, using zero as the velocity at the wall. For example the velocity within the area bounded between the four and five inch intervals from the wall was assumed to be the average of the four and five inch velocities. Prorating the velocities was a simple matter of summing each near wall velocity multiplied by the area of that "zone" divided by the total area of the equal area. The prorated velocities served as "substitute" velocities (used along with the regular traverse velocities from the other non-wall impacted Method 1 equal areas) in calculating a revised total flow. The correction factor was the revised total flow calculated using the substitute values divided by the flow calculated using the standard Method 1 traverse point velocities.
Unlike a circular stack where each equal area adjacent to the wall is equally impacted by the same amount of stack wall, the effect of the wall is not the same in all equal areas. Geometry plas a role. The impact of the wall on the average corrected velocity within a equal area abutting the vertical wall on a tall duct tends will be greater than it is on a short duct with the same width. If a duct is taller than it is wide (presuming an equal number of test ports to traverse points per port), then the influence will be greater on the side walls than on the top or bottom. Notwithstanding the fact that this calculation routine ignores additional flow reduction that occurs within the corners, the impact is greatest within the corners where both the vertical and horizontal walls are considerations.
Prorating the velocities in the near wall equal area that are influenced only by the vertical or the horizontal walls is fairly straightforward. The calculations is somewhat more complex for the corners. The corner equal area for in a 12' x 16' duct with a 4 x 4 test points, for example, includes 83 in2 area within one inch of the wall, 81 in2 between one and two inches from the wall, 79 in2 between one and two inches from the wall, etc.
Aside from the minor modifications made to accommodate the differences in geometry, the approach in 2H for circular stacks and the above data reduction technique are same: Both approximate the impact of the wall roughness for the entire cross-section based on near-wall measurements at each port and both determine "substitute" velocities for the near wall regions by prorating the near wall velocities based on the area that they represent. For rectangular ducts, this methodology is inherently conservative since it neglects the effect of the corners, or at least the portion of the corner effect not redistributed by secondary flow.
Potential Beneficial Changes to EPA Reference Method 2H
Because any modifications to EPA's stack flow reference methods to correct for wall effects on rectangular ducts would likely be modeled after Method 2H, we feel it is appropriate and timely to recommend several changes that could be made to Method 2H to make it not only more cost effective, but also more accurate:
Require a more thorough, but one time wall effects test. The accuracy of the wall effect adjustment factors could be greatly enhanced by requiring a one time, more thorough test. Wall effect adjustment factors that are based on data from a single test generally include a considerable amount of uncertainty. The uncertainty is due to the fact that the method attempts to quantify a small (typically 2-5%) effect using a measurement based approach that is sensitive to variations in both process control and probe placement.
Since the factor to be measured is small, the total stack flow must remain relatively constant during the test or the results could be significantly skewed. If process variation, such as changes in load or excess air, cause the total stack flow to differ between the time of the regular traverse and the near wall measurements, then that change in flow will directly impact the WAF value. Likewise, a linear mispositioning of the probe, particularly at points nearest the wall, could have significant impact on the WAF since the velocity profile changes radically near the wall.
The uncertainty could be reduced by averaging the results of multiple tests together to "average out" the effect of possible process variation and probe mispositioning. To accomplish, this we recommend that a series of three wall effect runs be performed during an initial one time test. The one time test approach would decouple the wall effects test from the RATA. The results would be averaged together to generate a WAF value that would be used to correct any subsequent flow RATA data. A one time test would be appropriate since the parameters effecting wall effects do not change appreciably over time as long as no stack modifications are made. If modifications are made then the test could be repeated.
There is no need to conduct wall effects tests at different load levels. Notwithstanding the current dictates of Method 2H, it is not necessary to conduct wall effects tests at different load levels because the effect is Reynolds number independent; that is, it does not vary with changes in velocity. This is supported by fluid dynamics principles and is clearly shown in the data from EPA's own field tests. Figure 4 is a reproduction of a figure(10) from the EPA Findings Report. As stated in the EPA report, the figure shows that "there is no obvious relationship between the percent change in velocity due to wall effects and the average velocity in the baseline traverse."(11) Given the lack of evidence supporting a need for testing at various load levels, we are surprised that EPA requires separate tests in order to apply a measurement based WAF at each level and recommend that EPA reconsider this requirement.

Wall effects tests need not be performed with the same reference method used during the RATA. If wall effects tests are decoupled from the RATA as we recommend, there is also no need to perform the wall effects test using the same reference method as is currently required by Method 2H. In fact, while using Method 2F is more accurate for regular flow traverses, standard Method 2 is preferred for wall effects tests since it minimizes the test time required, thus reducing the potential that process variation might skew the results.
As long as the reference method used to measure the baseline traverse and near wall measurements remains consistent, it does not matter what reference method is used for the wall effects test. Any yaw component of the flow will tend to be proportionally effected by wall effects just like the axial flow. Thus, any over reporting associated with standard Method 2 will tend to be consistent throughout. And, pitch will have little role since it tends to be deflected by the wall. Since the axial components of the wall effects are the only measurements of concern, any method may be used.
The fact that swirl has little or no impact on determining axial wall effects and that any probe type can be used to acceptably measure wall effects is illustrated by EPA's field test data(12) where little difference was seen between the average "straight-up" and "yaw-nulled" autoprobe results. There was also little difference between WAFs calculated using the autoprobe and 3-D DAT measurements.(13)
Wall effect caps could prove problematic for rectangular ducts. An upper limitation, if any, that would be placed on WAFs for rectangular duct would need to be much larger than its current counterpart for circular stacks. Under 2H, the only remedy for sites exhibiting wall effects greater than the limit, which was established based on the handful of sites included in EPA field tests, is to increase the number of traverse points used during the RATA so that more of the wall effect will be captured in the regular traverse. This is a poor solution for circular stacks and certainly does not represent a viable solution for rectangular ducts since one would have to increase the number of traverse points four-fold on a rectangular duct just to equal the wall proximity that would already be present in a circular stack traverse. Multiplying the number of traverse points would make little sense because the vast majority of the additional points would reside in the bulk flow region which is already adequately characterized. It is hoped that providing for a more thorough assessment of the wall effects will reduce or eliminate the need to arbitrarily cap WAF values that are calculated based on actual quality assured reference method data.
Conclusions and Recommendations
Since the allowance program is dependant on precise, quantifiable emissions measurements, an inherent bias, such as the one introduced by equal area traverses, should be eliminated. Such a bias is incompatible with the concept of emission caps and trading. An adjustment for wall effects should be allowed, not only for circular stacks but also for rectangular ducts. As a matter of practicality, should be as simple to implement as possible.
The wall effect related bias are more pronounced in rectangular ducts because the proportion of the wall surface to cross-section area is greater and because of the increased intensity of the shear in the corners. Perhaps most significantly, Reference Method 1 dictates that the traverse points for a rectangular duct be located considerably further from the walls and, thus, generally eliminates the possibility that some of the impact of the wall effects may be reflected in the results of a standard traverse. Calculated estimations of wall effect adjustment factors, which were supported by field measurement data, ranged from about 4-5% in contrast to factors for circular stacks that are usually in the 2-3% range.
We recommend that a similar approach to the one in Method 2H for circular stacks be used to allow volumetric flow reference method data to be adjusted for rectangular ducts. Adjustments could be made either by performing a test comprised of a series of near wall measurements or by using an optional default value. Rectangular duct wall effects tests could be conducted in the manner described in the measurement data reduction section of this paper where wall effects are characterized at each test port and the data is reduced through a numerical integration technique. Default factors for rectangular duct would, by necessity, need to be greater than those for circular ducts since the impact of wall effects is greater. For 16-point traverses, the data presented herein indicates that a value of 0.97 (3.0%) would represent an appropriate and rather conservative default adjustment factor for rectangular ducts. For monitoring locations lacking fully developed flow, i.e., locations that do not meet the Method 1 siting requirements, a second default factor of 2.0% is recommended. Some additional consideration is likely needed to address the effect of varying the number of traverse points on WAF values.
Because we are advocating a similar approach to the one outlined in EPA Reference Method 2H, we feel it is appropriate to recommend several changes that could be made to Method 2H to make it more accurate and cost effective. Briefly, the use of a one time, but more thorough wall effects test would result in more accurate WAF values. A one time test would be appropriate since the parameters effecting wall effects do not change appreciably over time as long as no stack modifications are made. As there is no need to perform duplicate tests at different times, there is no need to test at different levels wall effects are Reynolds number independent. There is also no need to perform the wall effects test with the same reference method used during the RATA as is currently required by Method 2H if the test is decoupled from the RATA as we recommend. In fact, while using Method 2F is more accurate for a regular flow traverses, standard Method 2 is preferred for wall effects tests since it minimizes the test time required, thus reducing the potential that process variation might skew the results.
Endnotes
1. The terms "ducts" and "stacks" are and can be used interchangeably throughout this paper.
2. Norfleet, Stephen K. An Evaluation of Wall Effects on Stack Flow Velocities and Related Overestimation Bias in EPA's Stack Flow Reference Methods, 1998 EPRI CEM Users Group Meeting, New Orleans, Louisiana, May 1998.
3. In practical terms, this means that the wall effects are independent of both velocity and viscosity.
4. Although not actually a flow velocity, the quantity u* is called the friction velocity because it has the same dimensions as velocity.
5. A factor used to generalize the results of the analysis to account for potential variations in the velocity profile from site to site. The velocity profile ratio is the ratio of the average of the sum of the velocity measurements taken at the regular Method 1 traverse points nearest the wall at each port and the average measured stack velocity.
6. Bradshaw, Peter (Ed.). Turbulence, 2nd edition. Springer-Verlag, Berlin. 1978, p. 124.
7. This roughness value might be considered high for a steel walled stack but is suggested by the measurement data contained herein. It is not surprising that the effective roughness of rectangular ducts would be considerably higher than that for prefabricated circular steel stacks because of the welding and riveting imperfections, sagging or rippled sheet metal walls, and girder placement irregularities that are typical of utility duct work. Aerodynamic roughness is not a function of the type of material but its effective texture and impact on the flow.
8. which itself represents an integral of the logarithmic law.
9. White, Frank M.. Fluid Mechanics, 2nd ed., McGraw-Hill, New York. 1986, Table 6.4, p. 331.
10. , EPA Flow Reference Method Testing and Analysis: Findings Report, US EPA, Acid Rain Division, EPA/430-R-99-009a, May 1999, Figure 5-7, p. 5-14.
11. Id., p. 5-14.
12. Id., Table 5.2, p. 5-6.
13. It is interesting to note that greatest average "probe-to-probe" difference in the wall effect factors calculated was between the manual S-type and autoprobe data. It would seem that a difference between these two measurements would be more indicative process variations or measurement errors rather than any difference in the probes since a standard S-type Pitot is used by both. Of course, only one manual S-type wall effects test was performed so basing any conclusions on this data would be very tenuous.